Post Top Ad
Tuesday, 18 October 2022
Home
MathHomework
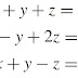
Solving Simultaneous Equation with Cramer's rule, Inverse Matrix, and Gaussian Elimination
Solving Simultaneous Equation with Cramer's rule, Inverse Matrix, and Gaussian Elimination
Subscribe to:
Post Comments (Atom)
Post Top Ad
Author Details
អ៊ឹង គួងម៉េង

No comments:
Post a Comment